DON'T FOLLOW THE LIGHT

MOS

Las junturas MOS son la base de los dispositivos semiconductores mas modernos. En principio el capacitor MOS es una pieza de estudio importante.
Dado que genéricamente se usa como aislante (insulator) el SiO2 (Dióxido de Silicio), se habla de de estructuras MOS (Metal Oxido Semiconductor) aunque también se denominan MIS (Metal Insulator Semiconductor).

El capacitor ideal MOS

 

http://2.bp.blogspot.com/-pIpgpOVWLI4/Ui8TcDj4FfI/AAAAAAAADxA/W26Md_RB7cc/s320/El+capacitor+ideal+MOS.png

 



d: es el espesor del aislante, también llamado tOX en otras literaturas técnicas
V (o VG) es el voltaje aplicado al metal. 
Por convención si el positivo se aplica al metal, es polarización directa.
El metal es llamado Gate (compuerta) ya que será el nombre del electrodo del transistor MOSFET cuando esta estructura MOS sea la base del mismo.
El Metal: puede ser Aluminio o un semiconductor degenerado o semimetal (Silicio Policristalino). 
El Aislante (Insulator): puede ser SiO2 (Dioxido de Silicio) .
El Semiconductor : Silicio (tipo p o tipo n).

Diagramas de Energía de la estructura MOS

En forma separada, se muestran los niveles de energía en el metal (aluminio en este caso), óxido y semiconductor:

 

http://4.bp.blogspot.com/-OfUKI1fnS_A/Ui8UDeCfxoI/AAAAAAAADxI/_187oMuKicg/s320/Diagramas+de+Energ%C3%ADa+de+la+estructura+MOS.png

 


Evacío (vacuum level): nivel del electrón en el vacio, justo en la superficie del material, allí está libre, sin velocidad
Ф = potencial de extracción 
qФ = función trabajo del material (energía necesaria para sacar un electrón del Ef del material y llevarlo a Evacio (nivel de vacío)
qФm = función trabajo del metal
qФs = función trabajo del semiconductor
En realidad en los semiconductores los electrones están en la banda de conducción por lo que se usa χ: afinidad electrónica (χi para el aislante, χ para el semiconductor)
Para simplificar se elije un metal y un semiconductor tales que

Фm = Фs , donde

 

http://2.bp.blogspot.com/-f_fUWybRmlI/Ui8VZ2-0YNI/AAAAAAAADxU/9YoPBFX4fbw/s1600/Ecuaci%C3%B3n+1.jpg

 





 y con lo cual Фms = Фm – Фs = 0

B es el desnivel energético entre Ei y Ef (también llamado Фi potencial intrínseco de Fermi)
P es el desnivel energético entre Ef y Ev

Al formar la estructura MOS aparecen las siguientes situaciones

VG = 0 (Juntura MOS en cortocircuito)

Banda Plana (Flat Band) : es la condición de equilibrio térmico, no hay cargas, no hay campo, no hay corrientes.

 

http://4.bp.blogspot.com/-836WEXZ8g8U/Ui8V0L4P5sI/AAAAAAAADxc/3WnJd0U3CKE/s320/Juntura+MOS+en+cortocircuito.png

 


Importante: Idealmente el capacitor MOS tiene las siguientes características:

  • Bajo cualquier condición de polarización sólo hay cargas en el metal y el semiconductor. No hay cargas atrapadas en las interfaces ni en el óxido.
  • Bajo cualquier polarización de continua no hay transporte de portadores través del aislante. La resistividad del aislante es infinita.

VG ≠ 0 , Polarización del capacitor MOS (con semiconductor tipo p en este caso)

 

http://3.bp.blogspot.com/-YSrc0SV0dQ4/Ui8WhVCXgbI/AAAAAAAADxo/sWw8Oe0wX0I/s400/Polarizaci%C3%B3n+del+capacitor+MOS.jpg

 


Acumulación: VG es negativa. El nivel de Fermi del metal se eleva respecto al Ef del Semiconductor y en este último las bandas se curvan hacia arriba en la cercanía del óxido y Ev se acerca a Ef, esto causa una acumulación de portadores mayoritarios (lagunas ya que es material tipo p) cerca del óxido. También se puede ver como que las lagunas son atraídas hacia la interfase con el óxido por el negativo del Gate. Aparece una cantidad de igual cantidad de carga negativa en el lado metal del capacitor para mantener la neutralidad.

Depleción: VG es positiva y pequeña. El nivel de Fermi del metal desciende respecto al Ef del Semiconductor y en este las bandas se curvan hacia abajo en la cercanía del óxido y Ev se aleja de Ef, esto causa un vaciado (depleción) de portadores mayoritarios (lagunas) cerca del óxido. También se puede ver como que las lagunas son repelidas de la interfase con el óxido por el positivo del Gate. Aparece una cantidad de igual cantidad de carga positiva en el lado metal del capacitor para mantener la neutralidad.

Inversión
: si el valor de VG positivo se incrementa, aumenta la región de vaciado de lagunas y también la presencia de carga negativa en esa zona cercana al óxido. Esto se mantiene hasta que las bandas se curvan tanto hacia abajo (en la cercanía del óxido) que Ei se vuelve menor que Ef . Cuando esto sucede todas las lagunas se retiraron de las inmediaciones de la interface con el óxido y allí ahora hay muchos mas electrones en banda de conducción que lagunas en banda de valencia. Se ha producido la inversión de la naturaleza del material en esa zona próxima al óxido. Tener en cuenta que esto no se produjo por dopaje sino por la aplicación de un campo eléctrico.
La carga negativa en el semiconductor está formada no sólo por electrones en la banda de conducción sino por impurezas aceptoras ionizadas . Y nuevamente aparece una cantidad de igual cantidad de carga positiva en el lado metal del capacitor para mantener la neutralidad.
La inversión comienza cuando Ei = (Ec-Ev)/2 cruza Ef .
Si la concentración de electrones en la superficie próxima al óxido permanece pequeña se conoce como inyección débil. Si VG se incrementa de manera tal que la concentración de electrones iguala o aún supera a la de lagunas en equilibrio térmico, se llega a una inversión fuerte.
Con VG ≠ 0, el nivel de Fermi (Ef) aparece quebrado en el óxido ya que al no haber portadores varía bruscamente. Y en el metal y el semiconductor permanece horizontal al no existir corriente.

Efectos capacitivos en la estructura MOS

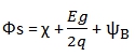
Cuando se aplica una tensión VG parte de esta aparece como una caída de potencial a través del óxido (Vox) y el resto aparece como un potencial Ψs en el silicio :

 

http://4.bp.blogspot.com/-11ZLLWIm8fI/Ui8XolsxoJI/AAAAAAAADxw/iicHvb5D2nc/s320/Efectos+capacitivos+en+la+estructura+MOS.png

 




La condición práctica para que haya un canal útil es que Ψs > 2 ΨB donde Ψs es el potencial superficial de Fermi y ΨB es el potencial intrínseco de Fermi.


VG = VOX + Ψs 
VOX = - Qs/Cox
Cox = Єox/tOX : capacidad por unidad de área en el óxido ; tOX: espesor de capa de óxido

Cox permanece constante para un dado espesor del óxido
Como se deduce del dibujo QM= – Qs. El signo – Qs es porque la carga en el metal es siempre igual pero de signo opuesto a la carga en el semiconductor. 
Si VG es negativa → +Qs, si VG es positiva →-Qs
Suponemos que no hay cargas atrapadas en el óxido ni en la interfase óxido-semiconductor.
QS = Qi + Qd : carga total por unidad de área inducida en el semiconductor.
Qi: Carga en la zona de inversión
Qd. Carga en la zona de depleción 

C: capacidad total del MOS = (d(-Qs))/(dVG )

Al variar VG, varía Ψs y eso provoca un efecto capacitivo en el Semiconductor (Csi )

Csi = (d(-Qs))/(d Ψs) donde Csi = Cd + Ci
Cd : Capacidad de la zona de depleción, depende de los portadores mayoritarios del semiconductor (lagunas por ser Si tipo p) que responden bien a las frecuencias bajas y altas.
Ci: Capacidad de la zona de inversión, depende de los portadores minoritarios (electrones en este caso) que responden sólo a señales de baja frecuencia.

Cox y Csi están conectadas en serie por lo cual:
1/C = 1/Cox + 1/Csi 

 

http://1.bp.blogspot.com/-jtGFE1BTVHU/Ui8ZDA-kZvI/AAAAAAAADx8/ml2N55aiyRw/s320/Efectos+capacitivos+en+la+estructura+MOS+2.png

 



Curvas C-V ideales del MOS

Las características C-V del capacitor MOS son una herramienta poderosa para el especialista en dispositivos, ya que revelan la naturaleza interna de la estructura y permiten identificar desvíos respecto al comportamiento ideal tanto en el óxido como en el semiconductor. Durante la fabricación de los dispositivos es habitual el control de las características C-V.
En los capacitores MOS hay varias curvas C-V dependiendo de la polarización y de la frecuencia de la señal aplicada. Para un dado espesor del aislante (d), el valor de Cox es constante y corresponde a la máxima capacidad del sistema. Pero la capacidad de semiconductor Csi no sólo depende de la polarización ( o Ψs) sino que es función de la frecuencia de medición. La principal diferencia ocurre en régimen de inversión, especialmente en inversión fuerte.

Análisis en Baja Frecuencia

Acumulación: cuando VG (V en el gráfico) es negativa el capacitor MOS está en acumulación y la Csi es muy elevada por lo que la Ctotal ~ Cox.
Flat Band: Si VG=0 el MOS está prácticamente en Flat Band entonces C= Cfb donde Cfb es un poco menor que Cox.
1/Cfb = 1/Cox + 1/Csi donde Csi = Єsi/Ld con Ld : Longitud de Debye
Depleción: si VG es ligeramente positiva, las lagunas del semiconductor se empiezan a escapar de la zona cercana al óxido y Csi= Єsi/Wd donde Wd es el ancho de la zona de depleción.
Entonces el ancho de la zona de depleción actúa como un dieléctrico en la superficie del semiconductor en serie con el óxido y la capacidad total continúa disminuyendo.
Inversión: si VG sigue aumentando llegará un punto donde C deja de disminuir (llega a Cmin), es cuando ocurre la inversión. Una vez que la capa de inversión se forma , la Ctotal empieza a crecer ya que la Csi depende mucho mas de la carga de la capa de inversión que de la carga de la zona de depleción.
Con bajas frecuencias de la VG aplicada , C total rápidamente alcanza el valor de Cox es la curva (a).

Análisis en Alta Frecuencia

El análisis anterior asume que la carga de la capa de inversión (portadores minoritarios) es capaz de seguir las variaciones de la señal alterna aplicada. Esto es cierto si la frecuencia de la señal aplicada f es 
f ≤ 1/ tiempo de respuesta de portadores minoritarios
Para f > 100 Hz la carga de la capa de inversión no responde a las variaciones de la señal de alterna, sólo la carga de la zona de depleción (portadores mayoritarios) puede responder a la señal alterna por lo tanto :
Csi ~ Cdepleción y C→C’min y la curva para alta frecuencia es la curva (c).
En caso de frecuencias intermedias influyen en Csi tanto Cinversión como Cdepleción y la curva es la (b).
Si no se forma la capa de inversión y VG es positiva, de manera de estar en depleción profunda, la capacidad C cae por debajo de la Cmin hasta que la aceleración por impacto tiene lugar y puede haber ruptura del Semiconductor, es la curva (d).

La depleción profunda no es una condición estable, si un capacitor MOS es llevado a ese estado, su capacidad gradualmente se incrementará hacia C’min hasta que los portadores minoritarios generados térmicamente reconstruyan la capa de inversión y restablezcan el el estado de equilibrio. 
El tiempo que le lleva al capacitor MOS recobrarse de la depleción profunda y volver al estado de equilibrio (ir de curva d a curva c) se denomina Tiempo de Retención y es un buen indicador de la densidad de defectos en la oblea de Silicio usada para la fabricación de los dispositivos.

 

http://1.bp.blogspot.com/-A--ph5BN3kI/Ui8aS05JKWI/AAAAAAAADyI/9usQLd5shsA/s320/Curvas+C-V++ideales+del+MOS.png

 

 

Este sitio web fue creado de forma gratuita con PaginaWebGratis.es. ¿Quieres también tu sitio web propio?
Registrarse gratis